Kerala PSC Laboratory Assistant (Archaeology Dept.) Exam in November 2024!

Table of Contents
Kerala PSC Lab Assistant Archaeology Notification
Kerala PSC Lab Assistant Archaeology Exam
Kerala PSC Lab Assistant Archaeology Exam Date
Kerala PSC Lab Assistant Archaeology Confirmation
Kerala PSC Lab Assistant Archaeology Admission Ticket
Kerala PSC Lab Assistant Archaeology Applicants
Laboratory Assistant Archeology Syllabus
Kerala PSC Lab Assistant Archaeology PYQ
Overview
Exam date for Laboratory Assistant in Kerala Archaeology department is published. The upcoming exam is one of the best archaeology opportunities in Kerala. As per the official exam calendar of Kerala PSC the exam is scheduled in November 2024. Along with the date of examination the detailed syllabus, date fir submitting confirmation and other details regarding applicants and admission ticket have also been published. Candidates preparing for this important archaeology recruitment must engage in syllabus-oriented focused preparation.
Kerala PSC Lab Assistant Archaeology Notification
Kerala PSC Lab Assistant (Archaeology) is published in December 2023. The notification was available in both PSC’s official website and in candidates’ profile. Only candidates with a bachelors degree in Chemistry from a recognized University were invited to submit the application.
Kerala PSC Lab Assistant Archaeology Exam
Kerala PSC will be conducting Laboratory Assistant (Archaeology) in online/OMR mode. Total time given to each candidate to complete the exam is 1 hour 30 minutes. There will be a total of 100 questions. Each question carries 1 mark for the right answer. There will be negative mark for wrong answer. For each wrong answer 0.33 mark will be deducted. Candidates must be mindful to answer maximum questions. Read the instructions on both OMR sheet and question paper carefully, if the exam is in pen and paper mode. Questions for this degree level PSC exam will be in English.
Kerala PSC Lab Assistant Archaeology Exam Date
Kerala PSC Lab Assistant exam date is 20 November, 2024. Candidates should reach the exam centre 30 minutes prior to the exam time. The exam time and centre will be mentioned in the admission ticket.
Kerala PSC Lab Assistant Archaeology Confirmation
All the applicants of Kerala PSC lab assistant exam must submit confirmation through the candidate profile registered in Kerala PSC Thulasi website. The window to submit the confirmation is open between 23 August and 11 September of 2024. Only candidates who have given the confirmation will receive the admission ticket. Those who do not submit the confirmation will ousted from the recruitment without any further intimation.
Kerala PSC Lab Assistant Archaeology Admission Ticket
All candidates who have submitted the application and confirmation promptly through their candidates’ profile receive the admission ticket online. As per the official schedule the Kerala PSC Lab Assistant admission ticket will be available from 6 November, 2024.
Kerala PSC Lab Assistant Archaeology Applicants
The official estimation of Kerala PSC Lab Assistant exam applicants is 21,971. This estimation only reflects the number of candidates who have applied for the Kerala Archaeology recruitment 2024 through online. The number could go down as candidates may opt to not participate in the recruitment or forget to submit the confirmation on time. In this all Kerala recruitment by Kerala PSC the archaeology job vacancies reported is 1.
Laboratory Assistant Archeology Syllabus
It is important for all the candidates aspiring to become Laboratory Assistant in Kerala Archaeology to read and understand the complete official syllabus.
See the laboratory assistant archeology syllabus below.
Kerala PSC Lab Assistant Archaeology PYQ
Solve the previous year questions to ace the upcoming Kerala Archaeology recruitment 2024.
- Select the correct statement regarding Langmuir adsorption isotherm:
- Adsorption takes place in multilayer
- Adsorption sites are equivalent and the surface is uniform
- Adsorbed molecules interact with each other
- None of these
- Using Debye Huckel Onsagar equation deduce the factor responsible for increasing the conductance ratio of a strong electrolyte:
- decreasing concentration
- increasing temperature
- small dielectric constant of the solvent
- increasing valence of the ions
- Which of the following is the application of ion exchange chromatography?
- The softening of hard water
- The demineralisation of water
- Both (A) and (B)
- None of the above
- Fmoc is:
- 6-fluorenylmethoxycarbonyl
- 7-fluorenylmethoxycarbonyl
- 9-fluorenylmethoxycarbonyl
- 7-fluorenylethoxycarbonyl
- Which of the following material is used as the insulation between inner and outer electrodes of the ion Chamber?
- Poly acryl amide
- Polytetrafluoroethylene
- Ceramic
- Plastic
- Assume the accepted value to be 1.45, which of the following options correctly describes the student’s experimental data?
Trial 1 measurement 1.29, Trial 2 measurement 1.93, Trial 3 measurement 0.88:
-
- Accurate but not precise
- Precise but not accurate
- Both accurate and precise
- Neither accurate nor precise
- Regarding nanomaterials, consider the following statements:
- They have reduced imperfection compared to the bulk material
- They are used in fuel cells
- They have high surface energy
- They have a large fraction of surface atoms
Out of these statements (A)
-
- (1), (2), (3), (4) are correct
- (1), (2), (3) are correct
- (1), (2), (4) are correct
- (2), (3), (4) are correct
- Which of the following statements is not true about Cyclodextrins?
- They are polysaccharides
- They have a hydrophilic outer surface
- They are useful for formulating hydrophilic APIs
- They are useful for formulating hydrophobic APIs
- Which is the reason for Fe2(CO)9 being diamagnetic?
- Presence of the CO as bridge group
- Presence of Monodentate ligand (C)
- Metal-Metal (Fe – Fe) bond in molecule
- Resonance hybridisation of CO
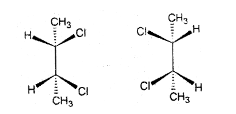
- The following pair of compounds are:
-
- Geometrical isomers
- Diastereomers
- Enantiomers
- Meso compounds
|
Answer Key | |
|
Q. No. |
Ans. |
|
1 |
b |
|
2 |
a |
|
3 |
c |
|
4 |
c |
|
5 |
b |
|
6 |
d |
|
7 |
a |
|
8 |
c |
|
9 |
c |
|
10 |
c |
Trending Updates















